fffo
[js문제풀이] 가장 먼 노드 본문
문제
문제 설명
n개의 노드가 있는 그래프가 있습니다. 각 노드는 1부터 n까지 번호가 적혀있습니다. 1번 노드에서 가장 멀리 떨어진 노드의 갯수를 구하려고 합니다. 가장 멀리 떨어진 노드란 최단경로로 이동했을 때 간선의 개수가 가장 많은 노드들을 의미합니다.
노드의 개수 n, 간선에 대한 정보가 담긴 2차원 배열 vertex가 매개변수로 주어질 때, 1번 노드로부터 가장 멀리 떨어진 노드가 몇 개인지를 return 하도록 solution 함수를 작성해주세요.
제한사항
- 노드의 개수 n은 2 이상 20,000 이하입니다.
- 간선은 양방향이며 총 1개 이상 50,000개 이하의 간선이 있습니다.
- vertex 배열 각 행 [a, b]는 a번 노드와 b번 노드 사이에 간선이 있다는 의미입니다.
입출력 예
nvertexreturn
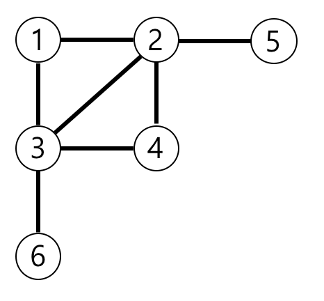
| 6 | [[3, 6], [4, 3], [3, 2], [1, 3], [1, 2], [2, 4], [5, 2]] | 3 |
입출력 예 설명
예제의 그래프를 표현하면 아래 그림과 같고, 1번 노드에서 가장 멀리 떨어진 노드는 4,5,6번 노드입니다.

접근 및 풀이
bfs를 이용해 풀었다. 가장 먼 노드를 찾기 위해 노드를 순회할 때 마다 큐에 현재 깊이와 도달 가능한 인덱스를 저장했다. 순회하는 노드의 깊이가 최대 노드보다 클 때 count를 1로 초기화 하면서 먼 노드의 개수를 갱신했다. 정확도는 통과했지만 효율성이 많이 떨어지는 것 같았다. 다른 사람의 풀이와 비교해보니 방문한 노드를 걸러낼 때 visited를 배열로 구현하고 includes 메서드로 확인 했는데 그 부분이 비효율적이었던 것 같다. visited를 객체 형태로 프로퍼티 키값을 인덱스로 사용하면 O(1)로 바로 접근할 수 있기 때문에 훨씬 빨라진다.
다른 사람 풀이
function solution(n, edges) {
// make adjacent list
const adjList = edges.reduce((G, [from, to]) => {
G[from] = (G[from] || []).concat(to);
G[to] = (G[to] || []).concat(from);
return G;
}, {});
// do BFS
const queue = [1];
const visited = {1: true};
const dist = {1: 0};
while(queue.length > 0) {
const node = queue.shift();
if (adjList[node]) {
adjList[node].forEach(n => {
if (!visited[n]) {
queue.push(n);
visited[n] = true;
const d = dist[node] + 1;
if (dist[n] == undefined || d < dist[n]) {
dist[n] = d;
}
}
});
}
}
const dists = Object.values(dist);
const maxDist = Math.max(...dists);
return dists.filter(d => d == maxDist).length;
}
코드
function solution(n, edge) {
const graph = Array.from(new Array(n + 1), () => []);
edge.forEach((e) => {
if (graph[e[0]]) graph[e[0]].push(e[1]);
else graph[e[0]] = [e[1]];
if (graph[e[1]]) graph[e[1]].push(e[0]);
else graph[e[1]] = [e[0]];
});
const queue = [[1, 0]];
const visited = [1];
let count = 0;
let maxDepth = 0;
while (queue.length !== 0) {
const current = queue.shift();
if (maxDepth === current[1]) {
count++;
} else if (maxDepth < current[1]) {
maxDepth = current[1];
count = 1;
}
graph[current[0]].forEach((des) => {
if (visited.includes(des)) return;
queue.push([des, current[1] + 1]);
visited.push(des);
});
}
return count;
}
출처
'Programming > Algorithm' 카테고리의 다른 글
| [js문제풀이] 정수 삼각형 (0) | 2021.10.17 |
|---|---|
| [js문제풀이] 거스름 돈 (0) | 2021.10.17 |
| [js문제풀이]괄호 계산 (0) | 2021.10.16 |
| [js문제풀이]여행경로 (0) | 2021.10.15 |
| [js문제풀이]2 x n 타일 (0) | 2021.10.15 |
Comments